Formations FFESSM : devenir un encadrant

L'initiateur club

Débuter dans l'enseignement et l'encadrement de plongeur en bouteille entre 0 et 6 m de fond.

Devenez Initiateur Club.

Ce programme vous prépare à acquérir les compétences pédagogiques d’un enseignant de plongée en milieu protégé. Avec ce diplôme, vous validez également les aptitudes nécessaires pour assurer la direction de plongée en piscine ou en fosse n’excédant pas 6 mètres. Il s’agit du premier niveau d’enseignement de la FFESSM.

À travers cette formation, vous développerez les compétences pédagogiques nécessaires pour former des plongeurs débutants et encadrer des séances en milieu protégé..

Vous obtiendrez également les compétences de directeur de plongée en piscine ou en fosse n'éxédant pas 6 m de fond.

Vous saurez mettre en place un cursus de formation et d'en assurer le suivi.

Tarifs

Formule individuelle : 480€
Formule duo (2 personnes) : 450€
Formule Groupe (à partir de 4 personnes) : 420€

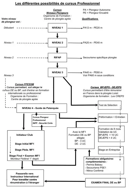
Le niveau 4 : Guide de Palanquée

Devenez encadrant et amenez des plongeurs en exploration entre 0 – 40 m de fond. La formation niveau 4 FFESSM demande un niveau de compétences complet, vous allez développer des aptitudes spécifiques pour amener en exploration d’autres plongeurs sous l’eau. Guider une palanquée nécessite une préparation rigoureuse sur le plan physique, technique, sécuritaire et théorique.

Nous vous proposons une préparation personnalisée et adaptée à vos futures prérogatives d’encadrant. Nous nous engageons à vous accompagner tout au long de votre formation et à atteindre le niveau d’exigence demandé pour devenir guide de palanquée.

Devenir guide de palanquée c'est avant tout être un plongeur éco-responsable et expérimenté qui met sa technicité au service des autres. C'est aussi partager sa passion du monde subaquatique à travers l'encadremùent de plongeurs.

Le N4/GP est également le prérequis indispensable vers les cursus moniteurs de plongée et vos éventuels projets professionnel dans la plongée.

Comment se préparer et se former au Guide de Palanquée

PRE-REQUIS Obligatoires pour entrer et passer l'examen dans cette formation :

  • Être validé plongeur niveau 3 /Cmas*** ,
  • Avoir le RIFAP de valider,
  • Présenter un certificat médical de non contre indication d’un médecin du sport ou hyperbare ou fédéral plongée de moins de 1 an et de l’année de la licence.
  • Avoir les attestations à se présenter à l'examen de validées.

Vous voulez débuter et préparez votre formation de N4/GP sans passer d’examen.

La première semaine de formation vous permettra d’acquérir l’expérience nécessaire pour maîtriser les contenus physiques, techniques et théoriques que l’on attend dans un stage N4.

Cette première partie de formation, vous permettra de vous entrainer et de vous préparer aux exigences techniques, physiques et théoriques à assimiler pour devenir un guide de palanquée.

► Formule individuelle : 590 €           ►Formule DUO - 2 personnes : 550 €

Vous vous entraînez l’hiver en piscine ou en fosse dans votre club ou vous avez déjà suivi un stage de préparation aux épreuves physiques, techniques et théoriques.

La deuxième semaine de formation vous permettra de finaliser votre formation de guide de palanquée et de passer votre examen.
Cette semaine de formation est axée sur les compétences de conduite de palanquée à différentes profondeurs, et elle vous permet également de perfectionner votre technicité sur les épreuves demandées.

Cette deuxième partie, vous permettra de finaliser votre formation et vos futures prérogatives de guide de palanquée par un examen final de 2 jours.

► Formule individuelle : 740 €           ► Formule DUO - 2 personnes : 690 €

Vous voulez effectuer un stage complet pour devenir Guide de palanquée.

Nous proposons, au minima, une session de 10-12 jours regroupant la semaine 1 et 2 pour préparer et finaliser votre niveau 4. C’est un stage complet et intensif.
Pour alléger ce stage, nous proposons également de le réaliser en 3 semaines, pour étaler la préparation technique, physique et théorique, ce qui vous laissera plus de temps pour assimiler les contenus.

Cette formation vous permettra de finaliser votre niveau de guide et vos futures prérogatives d’encadrant par un examen final de 2 jours.

Semaine 1 + 2 + Examen - 15 jours : 

► Formule individuelle : 1050 €            ► Formule DUO - 2 personnes : 990 €

Guide de palanquée en 3 semaines : 

► Formule individuelle : 1350 €                ► Formule DUO - 2 personnes : 1250 €

Vous êtes niveau 2 et vous voulez enchainer votre niveau 3 et votre niveau 4 dans la foulée, nous vous proposons un stage complet pour devenir Guide de palanquée.

PRE-REQUIS Obligatoires pour entrer dans cette formation :

  • Être validé plongeur niveau 2 /Cmas** ,
  • Avoir 40 plongées de valider.
  • Avoir le RIFAP de valider,
  • Présenter un certificat médical de non contre indication d’un médecin du sport ou hyperbare ou fédéral plongée de moins de 1 an et de l’année de la licence.

Notre stage complet et intensif sur 3 semaines vous permet d’acquérir les compétences d’un niveau 3 au niveau technique et théorique tout en vous préparant efficacement aux exigences d'une formation au niveau 4 / Guide de Palanquée.

Cette formation vous permettra de finaliser votre niveau de guide et vos futures prérogatives d’encadrant par un examen final de 2 jours.

► Formule individuelle : 1550 €

Le stage pédagogique

Vous avez besoin d'un stage pédagogique en entreprise pour valider les compétences nécessaires en vue d'un examen de monitorat fédéral ou d'état de plongée.

  • Fournir la copie de vos diplômes GP/N4 et RIFAP,
  • Fournir la copie de votre licence FFESSM,
  • Souscrire et présenter une assurance complémentaire (ex : assurance Loisir 1),
  • Présenter un certificat médical (CACI) de non contre indication à l’encadrement et à l'enseignement de la plongée,
  • Fournir la copie des diplômes (si valider) : Initiateur Club, Permis bateau,
  • Fournir la copie de votre livret pédagogique,
  • Valider la convention de stage pédagogique,
  • Fournir une convention CREPS (pour les stagiaires DE ou BP),
  • Prévoir un stage sur 15 jours de suite minimum.
  • A définir des dates précises de stage pédagogique,
  • A mettre en place une convention de stage pédagogique,
  • A présenter et à remplir le livret pédagogique quotidiennement,
  • A mettre en place un planning pédagogique,
  • A mettre en place un suivi pédagogique, en vue du rapport de stage,
  • A réaliser un bilan pédagogique en fin de stage.
  • Durée du stage de 15 jours minimum,
  • Possibilité d’être logé sur le centre (voir condition avec notre responsable),
  • Nourri les midis sur le centre (seulement durant la saison estivale).

Retrouvez ici la convention de stage.

  • Baptêmes de plongée départ du bord et d’un bateau (adultes et enfants).
  • Cours pédagogiques niveau 1, Pe12, PA12 : théorie + pratique.
  • Cours pédagogiques niveaux 2,3, PA20, PE40, PA40 : théorie et pratique.
  • Présentation avec notre conseiller technique, de cours pédagogiques niveau 4/GP théoriques et pratiques.
  • Gestion de groupes de jeunes (Snorkeling, stages de découvertes…)
  • Encadrement plongées explorations : épaves, plongée de nuit, plongée bio …
  • Participation à la mise en place de l’organisation sécuritaire des sorties plongée.
  • Atelier réparation et entretien du matériel.
  • Atelier de gonflage.
  • Cours de perfectionnement pédagogique avec notre conseiller technique.

Notre centre, en plus du stage pédagogique, propose aux stagiaires, désirant une préparation personnalisée et préparative à l’examen final MF1, un accompagnement pédagogique complet sur  les épreuves :

  • Techniques, préparation à l’épreuve d’IPD (Intervention Plongeur en Difficulté),
  • De pédagogie Organisationnelle,
  • De pédagogie pratique,
  • De pédagogie théorique,
  • De règlementation.

Avec notre conseiller technique E4, nous mettons en place des semaines préparatoires entre le 15 septembre et le 15 octobre.

Stage pédagogique :

► Formule 6 jours :  450 €        ► Formule 15 jours : 700 €

Formations SSI : Devenir encadrant international

Le Dive Guide SSI

Ce programme permet d'acquérir les compétences et l'expérience nécessaires pour guider en toute sécurité des groupes de plongeurs certifiés SSI ou PADI ou d'un autre organisme des RSTC à l'étranger.

Avec le DIve Guide vous devenez un guide de plongée international.

Il s'agit de la première étape vers une carrière passionnante en tant que Dive Professional SSI sans devoir suivre un programme complet d'Instructeur. Les Dive Guides ne sont pas professionnels mais ils peuvent intervenir bénévolement pour les Dive Centers SSI, et guider des plongées dans divers environnements et différentes conditions.

  • Être certifié Stress & Rescue,
  • Présenter la certification des spécialités (ou expérience équivalente) en :
    - Navigation (orientation),
    - Night & Limited Visibility,
    - Deep Diving
  • 40 plongées de certifiées et enregistrées,
  • Souscrire et présenter une assurance complémentaire internationale,
  • Présenter un certificat médical de non contre indication à l’encadrement d’un médecin Fédéral ou hyperbare ou CES du Sport de l’année en cours
  • permet de d’acquérir les compétences d’un guide de palanquée et encadrant professionnel international (hors France) pour guider les niveaux certifiés (OWD minimum) en exploration.
  • kit pédagogique Diveguide inclus.
  • cours théoriques numériques (accessible sur smartphone, tablette, PC).
  • 10 séances, soit 5 jours de formation.
  • Le nombre de cours, d’heures et de séances par jour sont fixés par l’Instructeur, selon les besoins des candidats, leurs capacités et les conditions d’eau

Attention :  En fin de formation vous aurez, après la réussite de l’examen, un statut de Dive Guide qui n’est pas un statut professionnel (c’est-à-dire que vous n’aurez pas à vous acquitter de l’adhésion annuelle appelée fee-member et vous pourrez encadrer des plongeurs sans être rémunéré, pour avoir un statut professionnel il faudra valider le DIVE MASTER).

Vous êtes Niveau 4 Guide de palanquée et vous désirez avoir votre équivalence à l’international comme guide plongée professionnel.

Etape 1 : Valider les prérequis pour entrer en formation Dive Guide (Package prérequis comprend ; Stress & Rescue, Orientation, Plongée de nuit)

Etape 2 : Réaliser la formation accélérée pour devenir Dive Guide et Dive Master.

Vous êtes Master Diver : Stage 10 jours de formation * : 1250 €

Vous êtes N4/GP  :    

• package prérequis - 2 jours (Obligatoire) : 400 €

•   Dive Guide en 5 jours de Formation * : 580 €

* Frais d'enregistrement en sus

Le Dive Master SSI

Devenir Dive Master c'est devenir guide de palanquée professionnel à part entière et de commencer une carrière en travaillant dans des Dive Centers à l'étranger.

Avec ce niveau vous débutez un métier pationnant en guidant des plongeurs dans divers environnements et en partageant votre passion du monde subaquatique.

Ce programme valide les compétences professionnelles d’un guide de plongée international pour guider en toute sécurité des groupes de plongeurs certifiés SSI ou PADI. Il s'agit de la deuxième étape vers une carrière passionnante en tant que Dive Professional SSI. A l'issue de ce programme, vous obtiendrez la certification Dive Master SSI.

  • Être certifié Dive Guide,
  • Présenter la certification des spécialités (ou expérience équivalente) en :
                               - Navigation (orientation),
                               - Night & Limited Visibility,
                               - Deep Diving,
  • Le REACT RIGHT de valider avec le module oxygénothérapie.
  • 50 plongées de certifiées ou d'enregistrées,
  • Souscrire et présenter une assurance complémentaire internationale,
  • Présenter un certificat médical (CACI) de non contre indication à l’encadrement et l'enseignement de l’année en cours
  • Permet d'acquérir les compétences pour devenir guide de palanquée international professionnel (hors France) pour guider les niveaux certifiés (OWD minimum) en exploration.
  • kit numérique pédagogique Science of Diving inclus.
  • Cours théoriques numériques (accessible sur smartphone, tablette, PC).
  • 6 séances, soit 3 jours de formation

Vous êtes Niveau 4 Guide de palanquée et vous désirez avoir votre équivalence à l’international comme guide plongée professionnel.

Etape 1 : Valider les prérequis pour entrer en formation Dive Guide (Package prérequis comprend ; Stress & Rescue, Orientation, Plongée de nuit)

Etape 2 : Réaliser la formation accélérée pour devenir Dive Guide et Dive Master.

Vous êtes Dive Guide : Stage 3 jours de formation * : 400 €
Vous êtes Master Diver : Stage Dive Guide + Dive Master (15 jours de formation)* : 1520 €

Vous êtes N4/Gp :

• Package prérequis - 4 jours (Obligatoire) : 400 €
• Dive GUIDE + Dive MASTER - 6 jours de formation * : 750 €

* Frais d'enregistrement en sus

L'assistant instructeur SSI

Ce programme valide les compétences professionnelles d’un assistant instructeur de plongée international. Grâce à ce niveau, vous pourrez enseigner les premiers cours de l’Open Water Diver, assister un instructeur lors de ces formations et guider en toute sécurité des groupes de plongeurs certifiés SSI ou PADI.

Il vous permet également de préparer votre instructorat SSI en acquérant les comportements et gestes appropriés. Il s’agit de la troisième étape vers une carrière passionnante en tant qu’instructeur professionnel SSI. À l’issue de ce programme, vous obtiendrez la certification Assistant Instructeur SSI.

  • Être certifié Dive Master,
  • Présenter la certification des spécialités (ou expérience équivalente) en : Navigation (orientation), Night & Limited Visibility, Deep Diving
  • Le REACT RIGHT de valider avec le module oxygénothérapie.
  • 75 plongées de certifiées et enregistrées,
  • Souscrire et présenter une assurance complémentaire internationale,
  • Présenter un certificat médical de non contre indication à l’encadrement d’un médecin Fédéral ou hyperbare ou CES du Sport de l’année en cours.
  • permet de devenir assistant instructeur, dernière étape avant de devenir instructeur professionnel international.
  • Formation pédagogique sur l'enseignement d'une formation de plongeur Open Water Diver.
  • Formation sur l'animation technique et théorique d'un cours SSI.
  • kit pédagogique Open Water Instructeur inclus.
  • cours théoriques numériques (accessible sur smartphone, tablette, PC).
  • 10-12 jours de formation.
  • Matériel plongée fourni.

► Formation et certification Assistant Instructeur - Stage 10-12 jours - (frais d'enregistrement en sus)1350 €

logo le poulpe